电话:16620112999 全天侯 值班手机号:13925129509(微信同号)
QQ:540013019
联系人:丁生、陈生
邮箱:xwdepo@163.com
地址:广州市白云区齐富路1号正阳大厦1709室/花都地址:新雅街临南河路6号之二702
请扫描下面的二维码咨询
项目背景
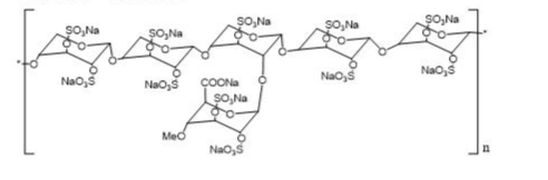
木聚硫钠(爱必罗)数十年前发现于欧洲,用于治疗间质性膀胱炎,是一种半合成的肝素类大分子碳水化合物衍生物,化学性质和结构式类似于糖胺聚糖。是一种白色无味粉末,轻微吸湿,在PH=6时能溶于水至50%。分子量从4000Da--6000Dd。具有抗凝和纤溶作用,在治疗间质性膀胱炎中的作用机制尚不清楚。
2018年澳洲医药学家发现,这种药可以有效治疗关节炎,并关节关节疼痛。参与证明这一药物对于治疗关节炎用途的相关研究的工作人员Dr. Jegan Krishnan表示,这一药物主要是从根源上治疗关节炎,因为他和在实验中发现了这种药物具有抗炎的作用,并似乎可以缓解骨骼损伤。一位赛马运动员,因意外的坠马事故,却让她罹患了关节炎,然而在接受了三周共六次的含有木聚硫钠的特效药注射之后,她的疼痛已经完全消失。在发现木聚硫钠最新用途的Paradigm Biopharma公司进行的30多起临床试验中,总共有70%的患者都反馈自己的疼痛有不同程度的缓解,甚至也有不少患者跟O’Loughlin一样不需要专门进行外科手术缓解并治疗自己的关节疼痛。
木聚硫钠是森鸿药业拥有自主知识产权的核心产品(公司还拥有磺达肝癸钠核心产品),目前在进行放大批次的工艺验证和质控体系的建立。
有意向的仿制药的企业可联系我们进行联合申报。
欢迎 你 发表评论: